• Предмет: Алгебра
  • Автор: Kiriiiill0001
  • Вопрос задан 7 лет назад

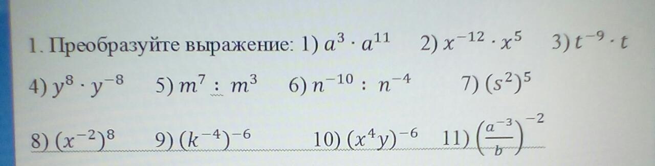
преобразуйте выражение ​

Приложения:

Ответы

Ответ дал: Ortiz
0

1) a^14

2) x^-7

3) t^-8

4) 1

5) m^4

6) n^-6

7) s^10

8) x^-16

9) k^24

10) x^-24 * y^-6

11) a^6 / b^-2

Когда умножаешь с одинаковыми коэффициентами - степени складываются. Когда делишь - вычитаются. Когда возводишь степень в степень - умножаются. Все просто как грабли

Вас заинтересует