• Предмет: Алгебра
  • Автор: garonka5555
  • Вопрос задан 7 лет назад

Здраствуйте мне нужен ответ на задачи №501,№503,505 из учебника А. Г. Мерзляк В. Б. Полонский М. С. Якир Алгебра 7 класс 2016 года выпуска с желтой обложкой и прошу обьяснить так как я хочу знать что я решаю.

Ответы

Ответ дал: katyachmelyova
1

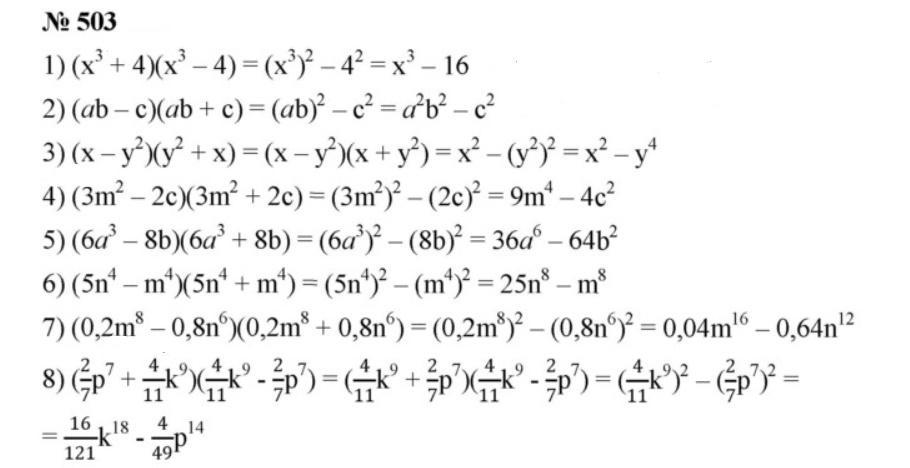
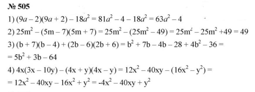
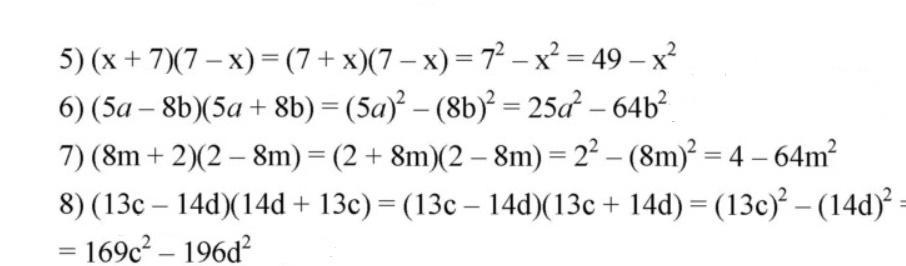
Ответ:

ответ в прикреплённых файлах

Объяснение:

это формулы, их надо выучить что бы легче решать(их я тоже прикрепила)

для примера: (с+2) (с-2), воспользуемся формулой (а+б) (а-б) = а(во второй) - б(во второй), и у нас получается с(во второй) - 2( во второй) т.е 4

Приложения:

garonka5555: Спасибо большое
Вас заинтересует