Ответы
Ответ дал:
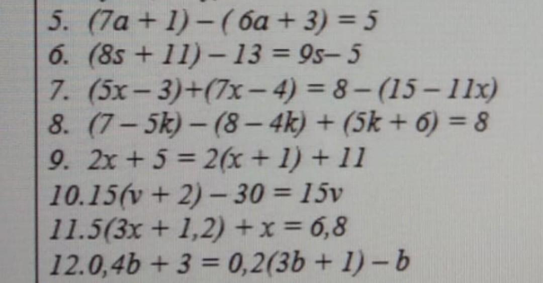
1
Ответ:
в фото
Объяснение:
последнии три сам...извини,тороплюсь.
Приложения:

qwizz075:
В 7 12x-11x=0 | Разве не 1x
Вас заинтересует
2 года назад
2 года назад
8 лет назад
8 лет назад
9 лет назад