Ответы
Ответ дал:
1
Ответ:
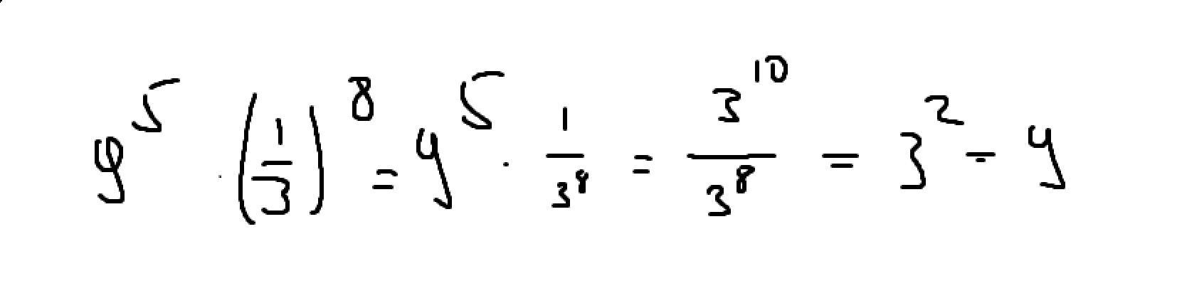
9⁵•⅓⁸= 3¹⁰•⅓⁸=⅓^-10 • ⅓⁸= ⅓^-2=9
Ответ дал:
0
Ответ:
9
Объяснение:
все объяснение на скриншоте
Приложения:

Вас заинтересует
2 года назад
2 года назад
2 года назад
2 года назад
8 лет назад
8 лет назад
9 лет назад