Ответы
Ответ дал:
0
Ответ:
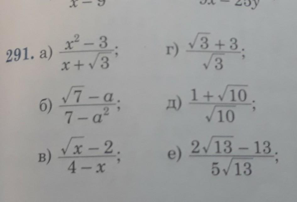
в примерах (а), (б), (в) мы применили фсу, а в (г), (д), (е) избавились от иррациональности ( числа с корнями в знаменателе) и сократили дробь
Приложения:

Вас заинтересует
2 года назад
2 года назад
2 года назад
8 лет назад
8 лет назад
9 лет назад