Файл размером 4 Мбайта передаётся по интернет-каналу 128 секунд. Определите скорость интернет соединения в Кбит/с.
Ответы
Ответ дал:
1
Ответ:
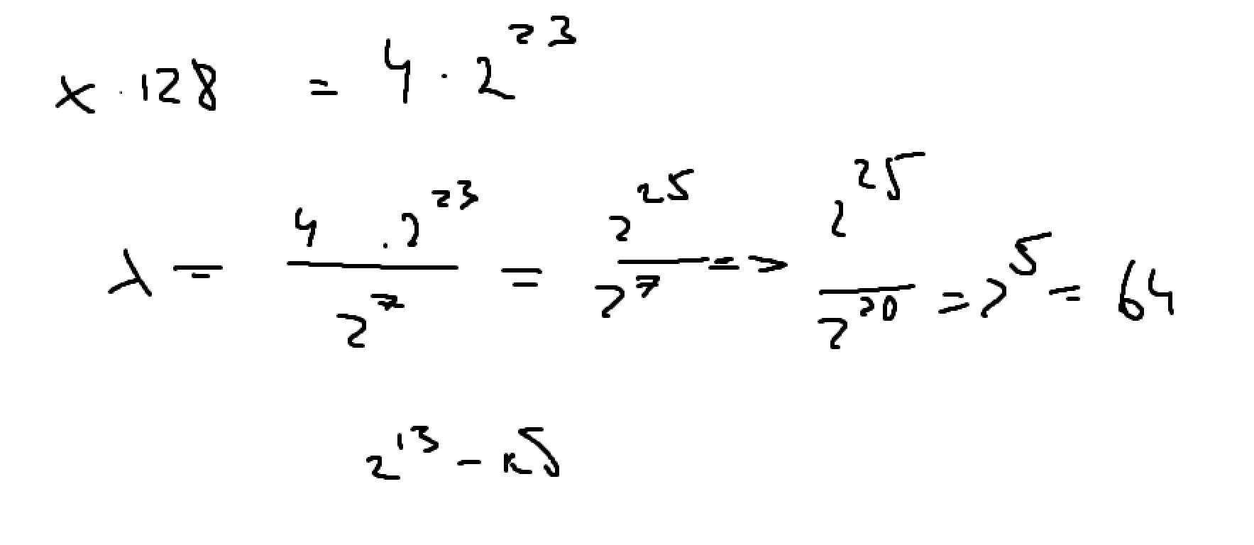
вроде 64
Объяснение:
Приложения:
Вас заинтересует
2 года назад
2 года назад
3 года назад
3 года назад
9 лет назад
10 лет назад