Ответы
Ответ дал:
0
Ответ: -1,8
Объяснение:
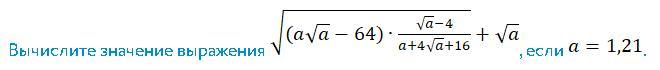
Смотри вложение
Приложения:

Вас заинтересует
2 года назад
2 года назад
2 года назад
8 лет назад
8 лет назад
9 лет назад