• Предмет: Математика
  • Автор: Karaba23
  • Вопрос задан 7 лет назад

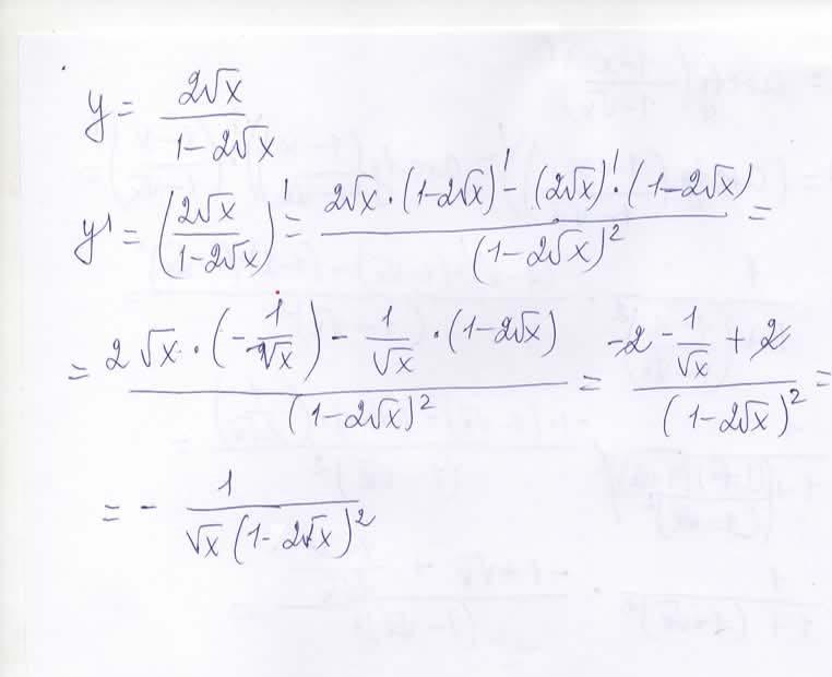
Найти производную функции: y=2√x/1-2√x

Ответы

Ответ дал: zveryakovanata
0

Ответ:

Пошаговое объяснение:

Приложения:
Вас заинтересует