• Предмет: Алгебра
  • Автор: artikgrim222
  • Вопрос задан 7 лет назад

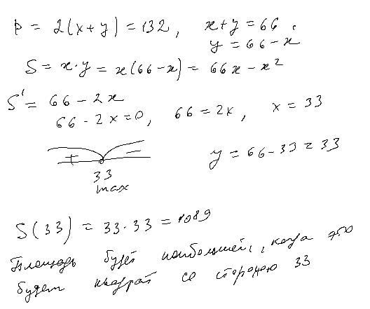
Периметр прямоугольника со сторонами x и y....

Приложения:

Ответы

Ответ дал: dashulka22222
1

Ответ:

Объяснение:

прямоугольник - квадрат со стороною 33

Приложения:
Вас заинтересует