• Предмет: Математика
  • Автор: DanilaKotov3619
  • Вопрос задан 7 лет назад

СРОЧНО!!! Помогите плиз с мат.анализом, нужно до 16.12 к 22:00 по мск, буду ооочень благодарен за подробное решение ;) Халявщики лесом!!!

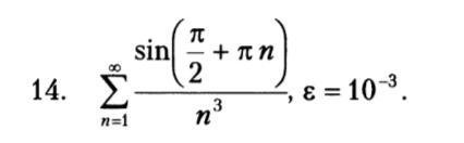
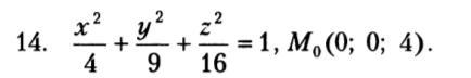
P.S для невнимательных и тех кто сейчас одним глазом спит, задачек всего две, просто 4 скрина!!! первый скрин это условие, 2 скрин уже мой вар к самому условию... ;)

Приложения:

Ответы

Ответ дал: Reqiuem10
2

Ответ:

Пошаговое объяснение:

Это 2 , посмотрю если 1 смогу скину

Приложения:

DanilaKotov3619: Вы сегодня в 14:00 по мск свободны? Прошу вас, мне бы ооочень не помешала ваша помощь в мат анализе
Reqiuem10: Я тоже не так хорош , посмотрю , телегу кинь.
Reqiuem10: Я похожую задачу как 1 нашёл могу скинуть и вы сами можете понять там что как,
Reqiuem10: Телеграмм скиньте там более уютно
Reqiuem10: В 1 можно с помощью теоремы Лейбница найти сумму потом данный произведения будет меньше чем 10^-3 и больше чем r(n) и оттуда находить какие n удовлетворяют нашему неравенству.
DanilaKotov3619: @garant_infoblog
DanilaKotov3619: А у вас какой? А то у меня там много всего, и могу потерять вас
Reqiuem10: Написал глянь.
Вас заинтересует