• Предмет: Математика
  • Автор: tamarasablina11
  • Вопрос задан 7 лет назад

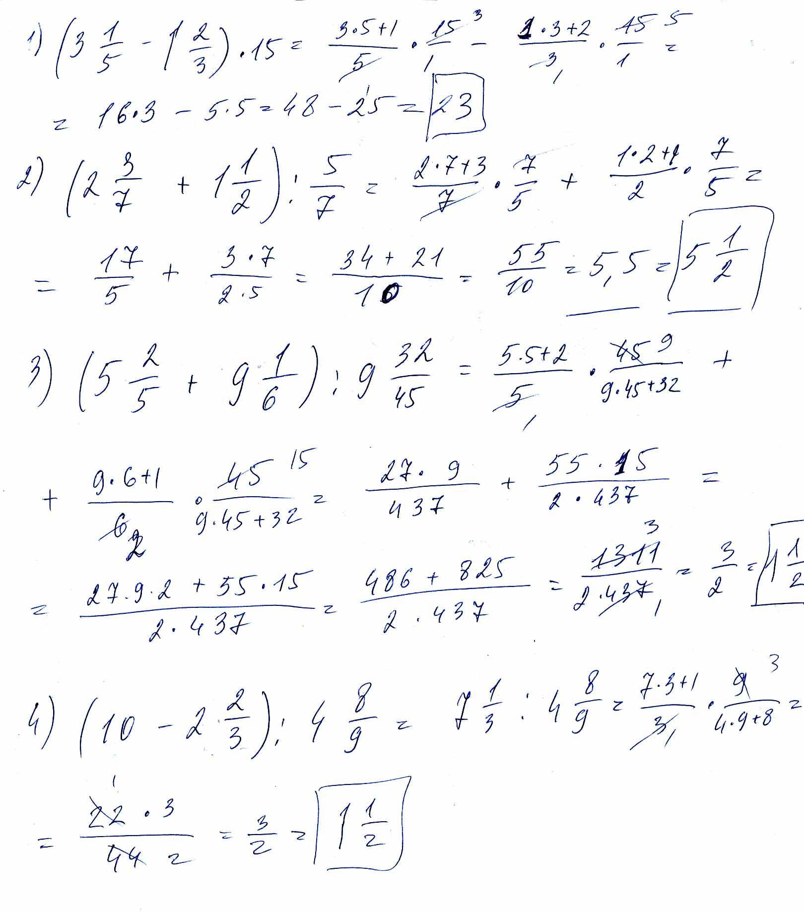
538. Найдите значения выражений: 1) 3 - 2) 2 + 1 - 13. 15; +g 9) 3) 5 2 32 : 9 45 4) 1) (10 - 2): 45 6 48. : 3 9
ПЖЖЖЖ УМАЛЯЯЯЯЮ РАЗБОРЧИВО......​

Приложения:

Ответы

Ответ дал: 55555555552187
9

Ответ:

см ниже

Пошаговое объяснение:

фото

Приложения:

tamarasablina11: СПАААСИБО!
55555555552187: а что только 3 поставил?
shamoagaev11: если кто то не видит 3 то том ответ 1 3/2
shamoagaev11: а ой не так 1 3/6 вот так
plechoasl: не правильно
vershininaalisa2011: Мне надо было по действиям
55555555552187: ты в задании не указал, что по действиЯм
chelovekvenom: это точно правильно?
Вас заинтересует