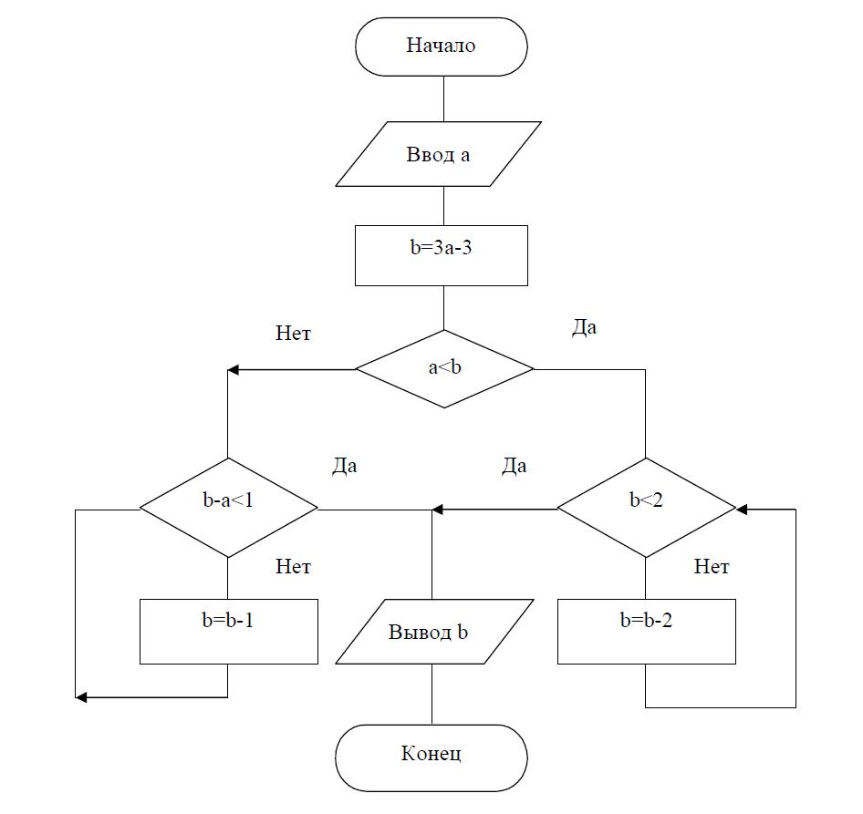
1. По заданному алгоритму, представленному в виде блок-схемы, определить значение переменной b и составить программу.
Приложения:

Ответы
Ответ дал:
0
Программа на языке Паскаль.
Приложения:

Вас заинтересует
2 года назад
2 года назад
8 лет назад
10 лет назад
10 лет назад
10 лет назад