• Предмет: Алгебра
  • Автор: goshaabramov2000
  • Вопрос задан 7 лет назад

вот фото пожалуйста помагите

Приложения:

Ответы

Ответ дал: Аноним
1

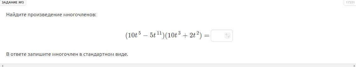
\displaystyle (10t^5-5t^1^1)(10t^3+2t^2)=10t^5(10t^3+2t^2)-5t^1^1(10t^3+2t^2)=100t^8+20t^7-\\ \\ 50t^1^4-10t^1^3

Вас заинтересует