Ответы
Ответ дал:
1
Ответ:
Пошаговое объяснение:
Здесь сразу решение
Приложения:

Ответ дал:
0
Ответ:
Пошаговое объяснение:
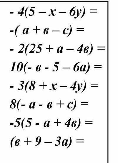
-20₊4х₊2y
-a-b₊c
-50-2a₊60a
-10b-50-60a
-24-3x₊12y
-25₊5a-20b
b₊g-3a
Вас заинтересует
2 года назад
2 года назад
2 года назад
2 года назад
8 лет назад
8 лет назад
9 лет назад