• Предмет: Математика
  • Автор: veragolceva
  • Вопрос задан 7 лет назад

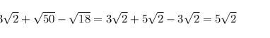
3 корень из 2 плюс корень из 50 минус корень из 18

Ответы

Ответ дал: akimoto31789512
0

Ответ:

Пошаговое объяснение:

Приложения:
Вас заинтересует