Ответы
Ответ дал:
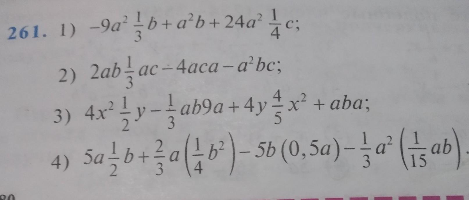
1
Ты не сказал что нужно сделать и поэтому я разложила на множители
Приложения:

Вас заинтересует
2 года назад
2 года назад
2 года назад
8 лет назад