• Предмет: Математика
  • Автор: ahalitov593
  • Вопрос задан 7 лет назад

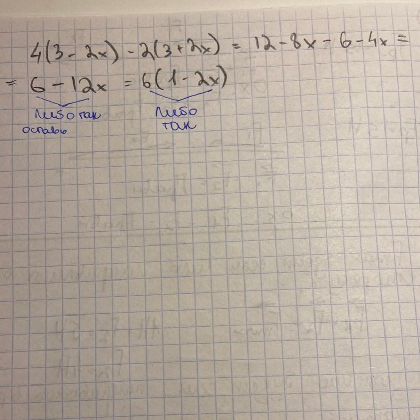
упростите выражение 4*(3-2x)-2*(3+2x)​

Ответы

Ответ дал: aidlove25
1
Решение этого примера прикрепила в фотографии:
Приложения:
Вас заинтересует