Ответы
Ответ дал:
1
Ответ:
Пошаговое объяснение:
Приложения:

Ternov21:
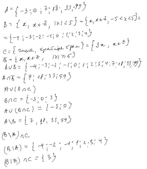
привет помоги с примерами по математике.
Вас заинтересует
2 года назад
2 года назад
8 лет назад