Ответы
Ответ дал:
0
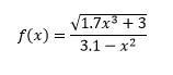
Для нахождения область значения функции, мы делаем следующее.
1) Числитель находится под корнем. Те под корнем обязательно >= 0 то записываем неравенство:
1.7х^3+3>=0
Решаем неравенство.
2) Знаменатель, по правилам математики, Никогда не может быть равен нулю. Следовательно, Мы Составляем уравнение:
3.1-х^2<>0(где <> это неравно)
Находим корни этого уравнения.
3) Записываем область определения
1) Числитель находится под корнем. Те под корнем обязательно >= 0 то записываем неравенство:
1.7х^3+3>=0
Решаем неравенство.
2) Знаменатель, по правилам математики, Никогда не может быть равен нулю. Следовательно, Мы Составляем уравнение:
3.1-х^2<>0(где <> это неравно)
Находим корни этого уравнения.
3) Записываем область определения
kvg1983:
Можете блок-схему нарисовать?
Вас заинтересует
2 года назад
2 года назад
3 года назад
3 года назад
9 лет назад
9 лет назад
10 лет назад