• Предмет: Химия
  • Автор: gulia0880
  • Вопрос задан 7 лет назад

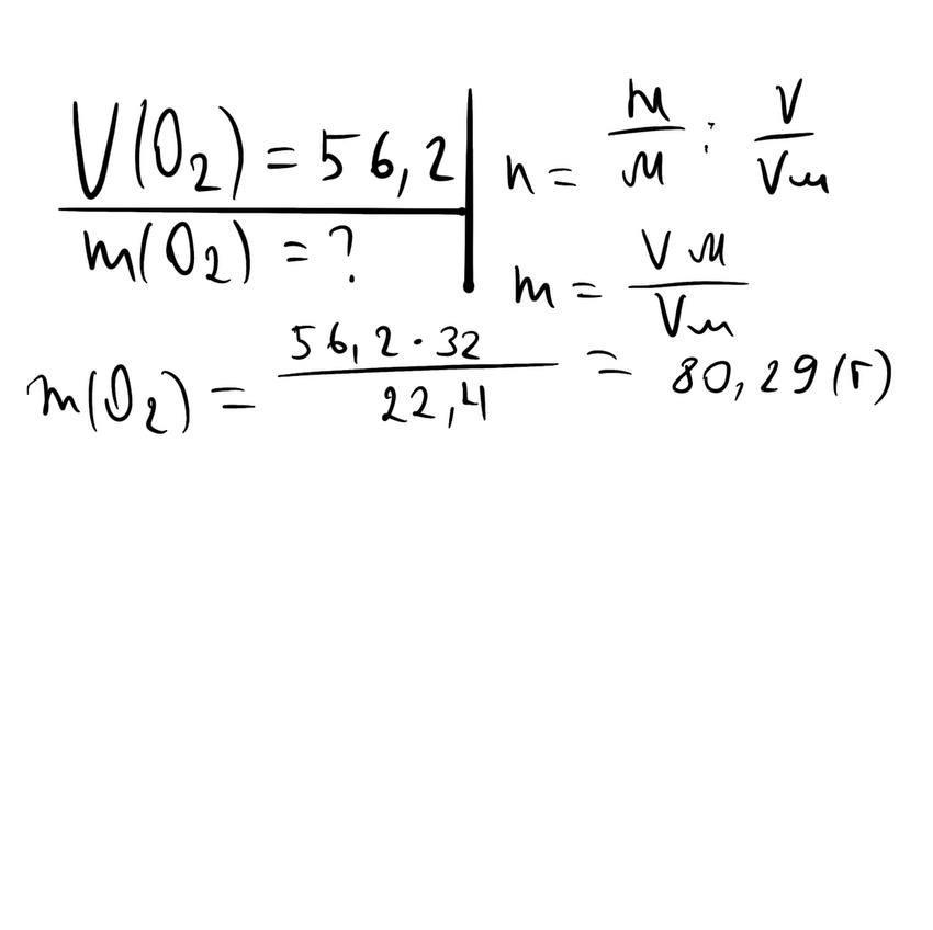
определить массу кислорода если при нормальных условиях объем кислорода 56,2​

Ответы

Ответ дал: coffee091
1
Маса кисню за н. у. 80,29 г
Приложения:
Вас заинтересует