Ответы
Ответ дал:
0
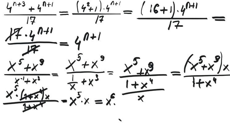
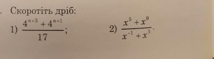
Вот там легко, но я тебе расписала
Приложения:

Вас заинтересует
2 года назад
2 года назад
2 года назад
2 года назад
8 лет назад
8 лет назад
9 лет назад