• Предмет: Алгебра
  • Автор: Аноним
  • Вопрос задан 7 лет назад

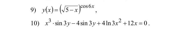
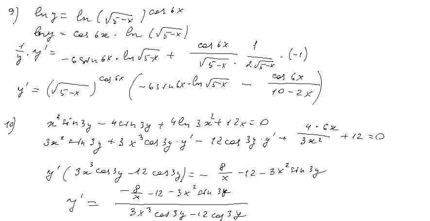
Производная , нужно решить!!!​

Приложения:

Ответы

Ответ дал: dashulka22222
1

Ответ:

Объяснение:

логариф.производная

Приложения:
Вас заинтересует