• Предмет: Математика
  • Автор: dafnatitova
  • Вопрос задан 7 лет назад

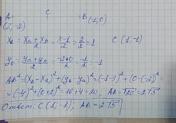
Дано точки А (3; -2) і В (-1; 0). Знайдіть довжину відрізка АВ і координати його середини.

с рисунком пожалуйста ​

Ответы

Ответ дал: Khodanovich1979
1

Відповідь:

Покрокове пояснення:

\sqrt{(3-(-1)^{2} +(-2-0)^{2} } =\sqrt{20} довжина відрізка

(3+(-1))/2=1 координата х

(-2+0)/2=-1 координата у

(1;-1) координати середини відрізка

Ответ дал: Iife20
2

Пошаговое объяснение:

Решение на фото на фото на фото

Приложения:
Вас заинтересует