• Предмет: Алгебра
  • Автор: s06520848
  • Вопрос задан 7 лет назад

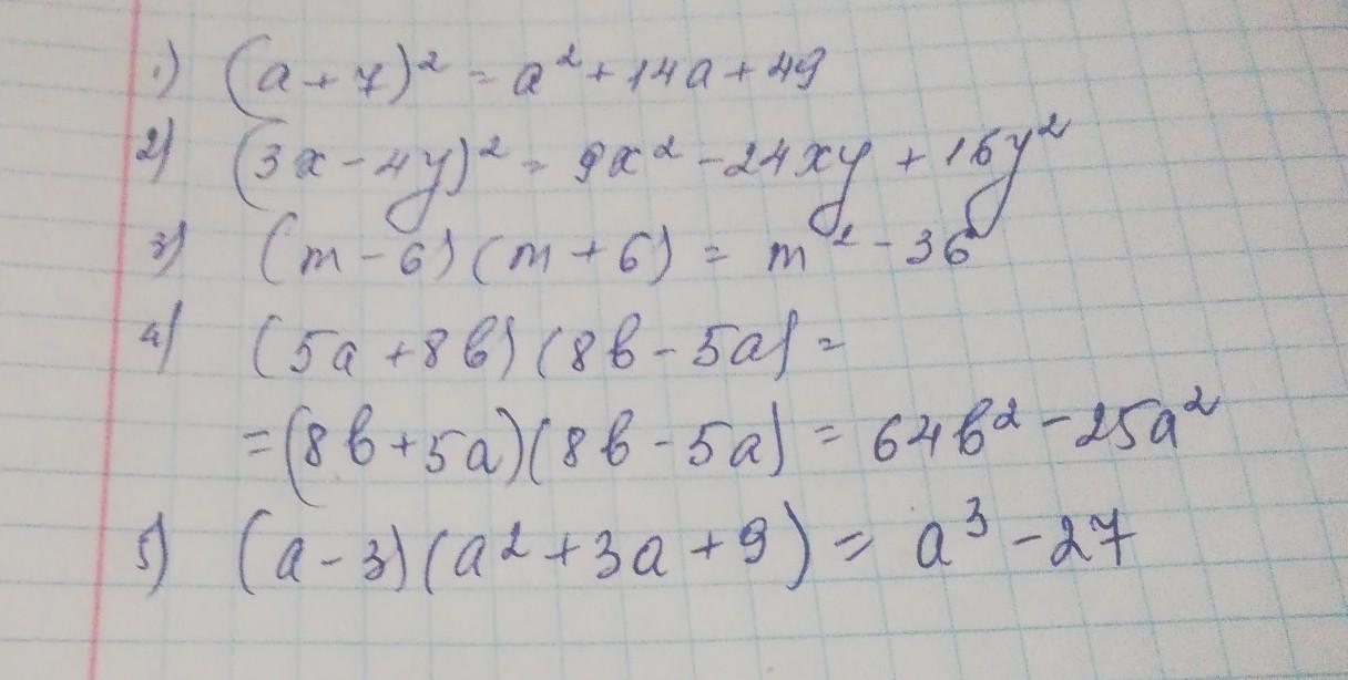
подайте у вигляді многочлена
а) (а+7)²
б) (3х-4у)²
в) (m-6)(m+6)
г) (5а+8в)(8в-5а)
д)(а-3)(а²+3а+9) ​

Ответы

Ответ дал: larisaserova53
0

Ответ:

Смотри решение на фото..

Приложения:

s06520848: спасиба
Вас заинтересует