• Предмет: Алгебра
  • Автор: EndrPort
  • Вопрос задан 7 лет назад

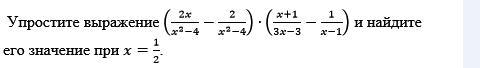
упростите выражение а затем вычислите

Приложения:

Ответы

Ответ дал: natali198112306
0

Ответ:

1) 2х/(х²-4)-2/(х²-4)=2(х-1)/(х+2)(х-2)

2) (х+1)/3(х-1)-1/(х-1)=(х+1-3)/3(х-1)=(х-2)/3(х-1)

3)2(х-1)/(х+2)(х-2)×(х-2)/3(х-1)=2/(3х+6)

х=1/2

2/(3×1/2+6)=2/(15/2)=2×2/15=4/15

Объяснение:

Вас заинтересует