• Предмет: Алгебра
  • Автор: Аноним
  • Вопрос задан 10 лет назад

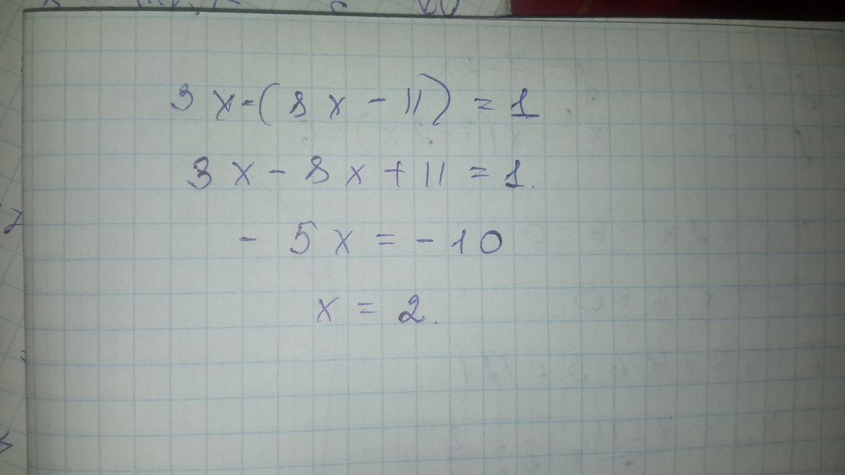
НАЙТИ ЗНАЧЕНИЕ Х, ПРИ КОТОРОМНАЙТИ ЗНАЧЕНИЕ Х, ПРИ КОТОРОМ ЗНАЧЕНИЕ АЛГЕБРАИЧЕСКОГО ВЫРАЖЕНИЯ РАВНО 1:
3х-(8х-11) 
plese помогите!!!!!!!!!!!!!!!!!

Ответы

Ответ дал: prostomama1
0
""""""""""""""""""""""""""""""""""""""
Приложения:
Вас заинтересует