• Предмет: Алгебра
  • Автор: babyyour004
  • Вопрос задан 7 лет назад

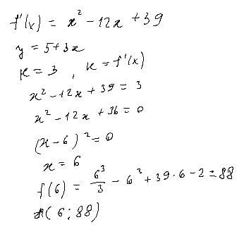
Найди, в какой точке графика функции y=f(x) касательная параллельна заданной прямой:

y=5+3x,
f(x)=x^3/3−6x^2+39x−2.

Ответ (при необходимости округли с точностью до десятых):

касательная параллельна заданной прямой в точке с координатами (
;
).

Приложения:

Ответы

Ответ дал: dashulka22222
1

Ответ:

Объяснение:

(6, 88)

Приложения:
Вас заинтересует