• Предмет: Алгебра
  • Автор: greyfiaam
  • Вопрос задан 7 лет назад

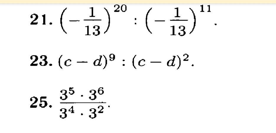
решите примеры со степенями

Приложения:

Ответы

Ответ дал: nikforip
0

Объяснение:

смотри по правилу если деления основание оставляем а показатели степени оставляем

(-1/13)^20: (-1/13)^11=(-1/13)^9=-1/10604499373

(c-d)^9:(c-d)^2=(c-d)^6

при умножении складывается показатели

3^5×3^6/3^4×3^2=3^11/3^6=3^5=243

Вас заинтересует