помогите пожалуйста
Приложения:

parus77:
тебе и решение уравнение надо расписывать,или только точки отметить?
Ответы
Ответ дал:
1
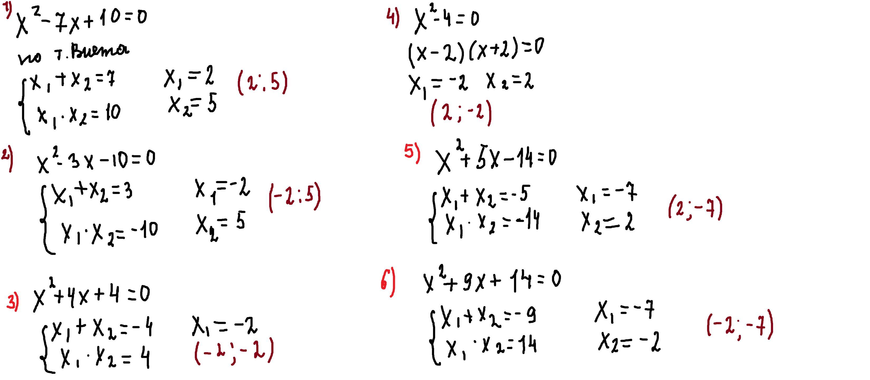
Ответ:
Подробное решение во вложении
Приложения:



Ответ дал:
1
Ответ:
Объяснение:
решение внизу
Приложения:


Вас заинтересует
2 года назад
8 лет назад
8 лет назад