• Предмет: Математика
  • Автор: mike2
  • Вопрос задан 10 лет назад

10 класс
Решите хотя бы один из номеров

Приложения:

Ответы

Ответ дал: IUV
0
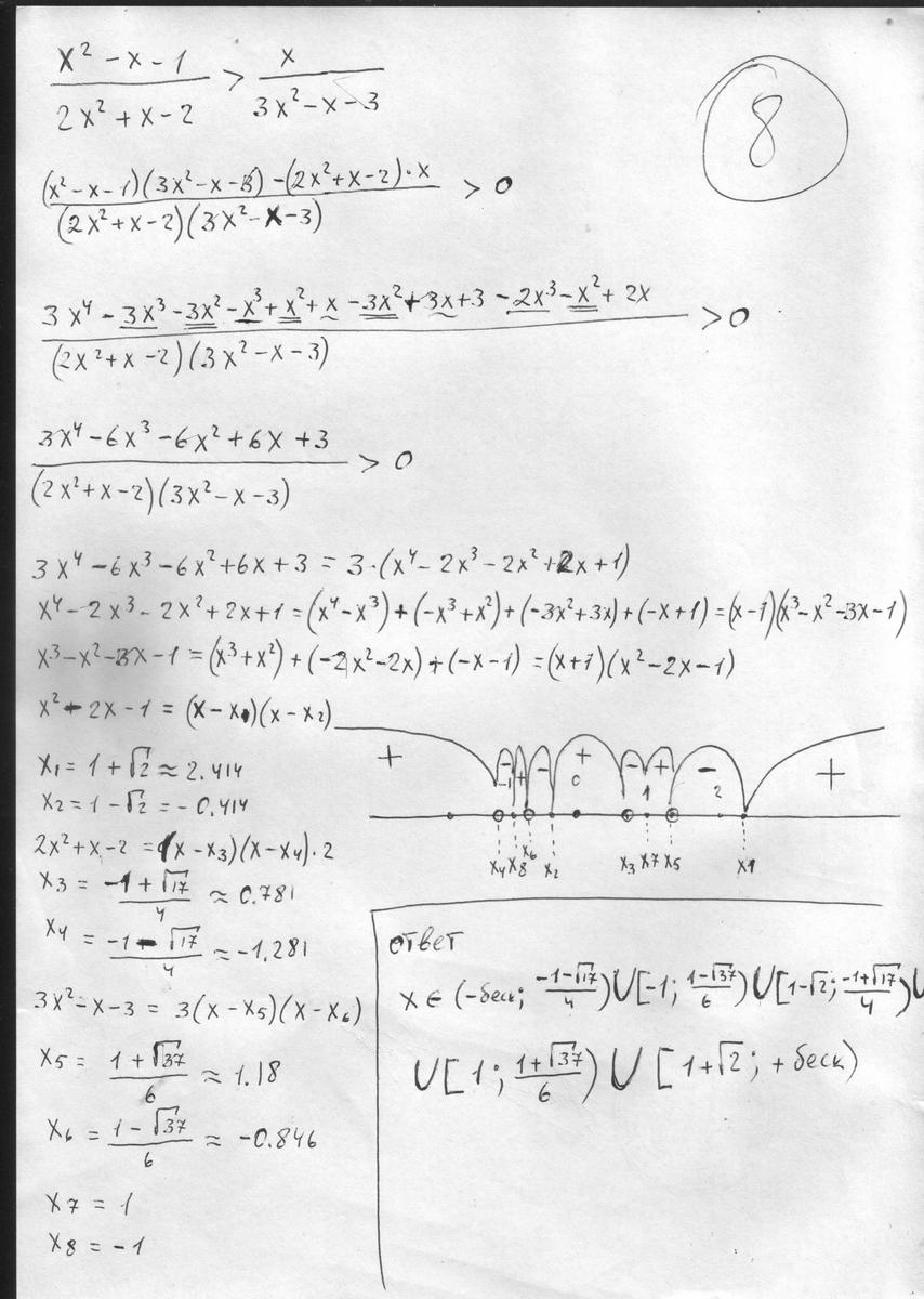
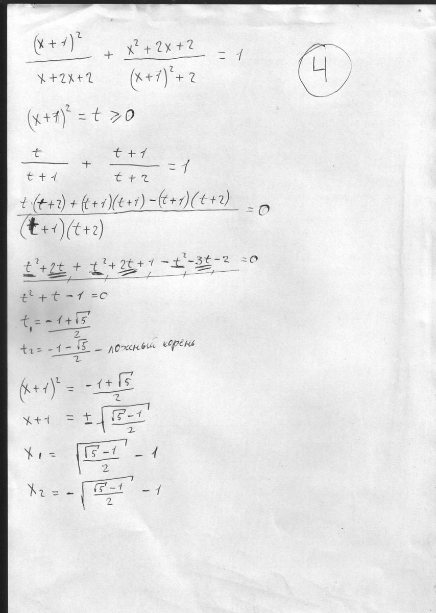
решения номеров 8  4 10 во вложении

Приложения:
Ответ дал: IUV
0
8 еще не проверял
Ответ дал: IUV
0
на 5 спекся - там уравнение 4 степени
Ответ дал: IUV
0
могу решить 5 численно
Ответ дал: mike2
0
http://noknod.hop.ru/delenie.php
Ответ дал: mike2
0
вот сайт дел. многочленов онлайн)
Вас заинтересует