• Предмет: Алгебра
  • Автор: tyoelena2
  • Вопрос задан 7 лет назад

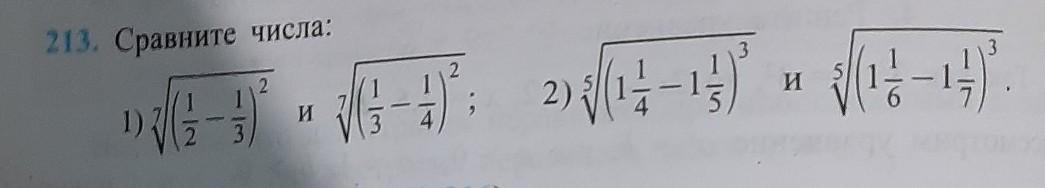
надо срочно
алгебра ​

Приложения:

Ответы

Ответ дал: svetalazareva931
1
Держи решение, зубри математику!
Приложения:

tyoelena2: да надо зубрить
tyoelena2: спасибо
svetalazareva931: Всегда рог
svetalazareva931: Всегда пожалуйста*)))
Вас заинтересует