• Предмет: Алгебра
  • Автор: mmega2751
  • Вопрос задан 7 лет назад

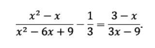
Решите дробно-рациональное уравнение

Приложения:

Ответы

Ответ дал: Applegate
6

 \bf \frac{ {x}^{2} - x }{ {x}^{2}  - 6x + 9 }  -  \frac{1}{3}  =  \frac{3 - x}{3x - 9} ;  \\ \bf {x }^{2}  - 6x + 9; \\    \bf \: \: D =  {b}^{2}   - 4ac = 36 - 36 = 0\Rightarrow \: x1 = x2 =  -  \frac{b}{2a} =  \frac{6}{2} = 3 ;  \:   \\  \bf a {x}^{2}  + bx + c = a(x - x1)(x - x2) \Rightarrow \:  {x}^{2}  - 6x + 9 = (x - 3)(x - 3); \\  \:  \underbrace{  \bf \frac{ {x}^{2} - x }{  {(x - 3)}^{2}  }  } _{ \bf \: 3} - \underbrace{ \bf \:  \frac{1}{3} } _{  \bf \: {(x - 3)}^{2} } = \underbrace{ \bf \:  \frac{3 - x}{ \bf \: 3(x - 3)} } _{ \bf \: x - 3}; \\  \bf \: 3 {x}^{2}  - 3x -  {(x - 3)}^{2}  = (3 - x)(x - 3); \\  \bf \: 3 {x}^{2}  - 3x - ( {x}^{2}  - 6x + 9) =  3x - 9 -  {x}^{2}  + 3x; \\  \bf \: 3 {x}^{2}  - 3x = 0; \\  \bf \: 3x(x - 1) = 0; \\  \bf \: x1 = 0; \:   \:  \:  \:  \:  \:  \:  \:  \:  \:  \: \: x2 = 1. \\  \bf \: ODZ: \:  \: x \neq \: 3;  \\  \bf \huge \: otvet:   \:  \:  \:  \: \: x1 = 0;  \: \:  \:  \:  \:  \: x2 = 1.

Вас заинтересует