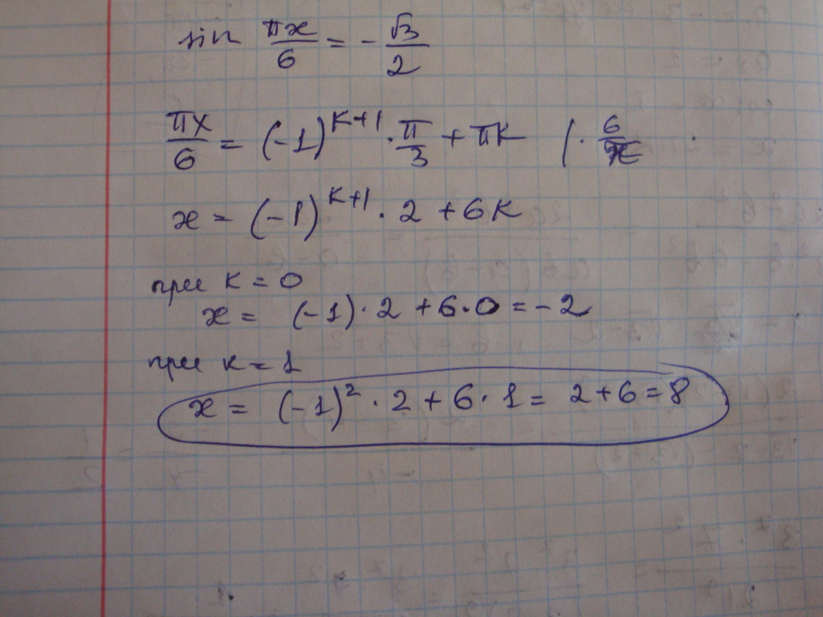
Решите уравнение: sin(Пх/6) = -корень из 3/2
В ответе надо записать наименьший положительный корень! Помогите пожалуйста!)
Ответы
Ответ дал:
0
решениеееееееееееееееееееееееееее
Приложения:
Вас заинтересует
3 года назад
3 года назад
8 лет назад
8 лет назад
11 лет назад
11 лет назад
11 лет назад