• Предмет: Математика
  • Автор: melnichenkonastya696
  • Вопрос задан 7 лет назад

Знайдіть значення виразу (3а-1/6):б, якщо а=35/6,б=3/4

Ответы

Ответ дал: Elena3982
1

Пошаговое объяснение:

Вот ответ...............

Приложения:
Ответ дал: iramazurk
1

Ответ:

Пошаговое объяснение:

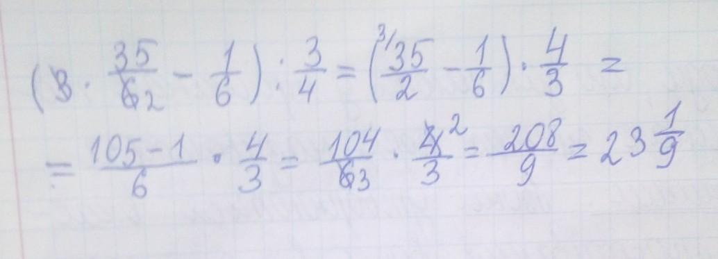
(3 * 35/6 - 1/6) : 3/4 =

(1 * 35/2 - 1/6) : 3/4 =

(35/2 - 1/6) * 4/3 =

(105/6 - 1/6) * 4/3 =

104/6 * 4/3 = 104/3 * 2/3 =

208/9 = 23. 1/9

Ответ: 23. 1/9

Вас заинтересует