• Предмет: Математика
  • Автор: levykdenis
  • Вопрос задан 7 лет назад

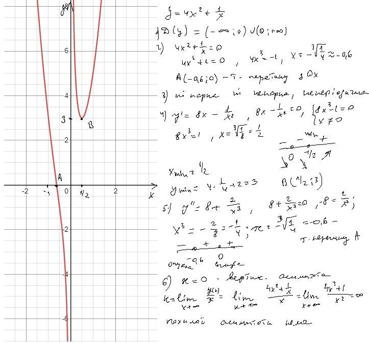
ДАЮ 40 БАЛЛОВ!!! Провести повне дослідження функції та побудувати її графік:

Приложения:

Ответы

Ответ дал: dashulka22222
0

Ответ:

Пошаговое объяснение:

Приложения:
Вас заинтересует