Помогите решить (можно только первую задачу, но желательно две)
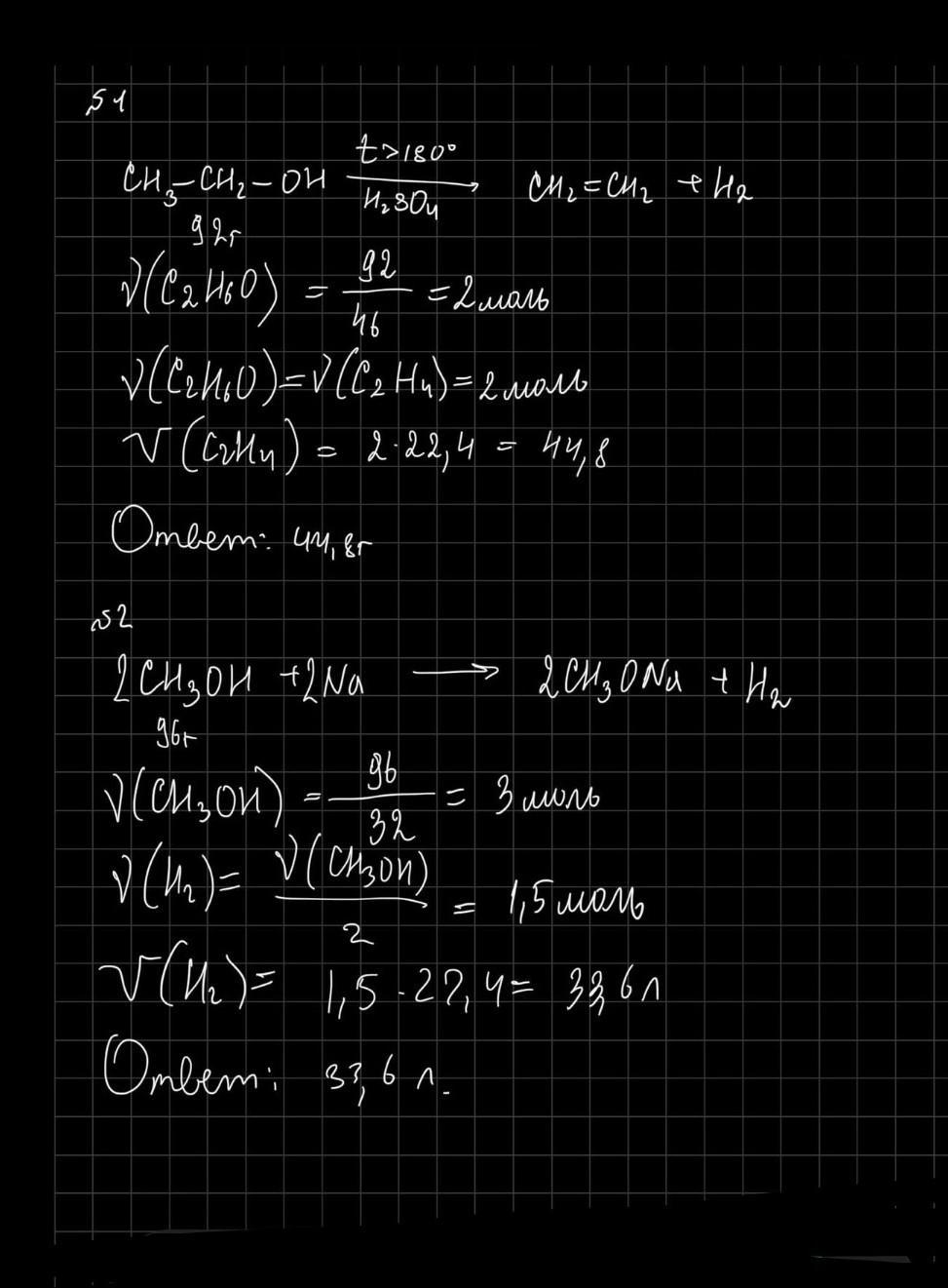
1)який об'єм (н.у.) етену можна добути з етанолу масою 92 г?
2)Обчисліть об'єм водню (н.у.) що виділиться при дії металічного натрію на метанол масою 96 г
Ответы
Ответ дал:
1
Объяснение:
Всё решение на картинке
Приложения:

Вас заинтересует
2 года назад
2 года назад
2 года назад
2 года назад
8 лет назад
8 лет назад
9 лет назад