• Предмет: Математика
  • Автор: Аноним
  • Вопрос задан 7 лет назад

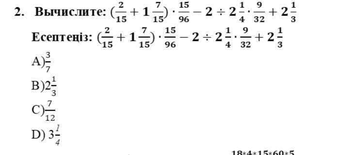
Помогите срочно в фото

Приложения:

Ответы

Ответ дал: sergeevaolga5
1

Ответ:

B)\; \; 2\frac{1}{3}

Пошаговое объяснение:

(\frac{2}{15}+1\frac{7}{15})*\frac{15}{96}-2:2\frac{1}{4}*\frac{9}{32} +2\frac{1}{3}=\\\\=1\frac{9}{15} *\frac{15}{96}-2:\frac{9}{4}*\frac{9}{32} +2\frac{1}{3}=\\\\=\frac{24}{15}*\frac{15}{96}-\frac{2}{1} *\frac{4}{9}*\frac{9}{32} +2\frac{1}{3}=\\\\=\frac{1}{4}-\frac{1}{4}+2\frac{1}{3}=2\frac{1}{3}

Ответ дал: larisaserova53
0

Ответ:

Смотри решение на фото..

Приложения:
Вас заинтересует