• Предмет: Физика
  • Автор: vitalabuskov9987
  • Вопрос задан 7 лет назад

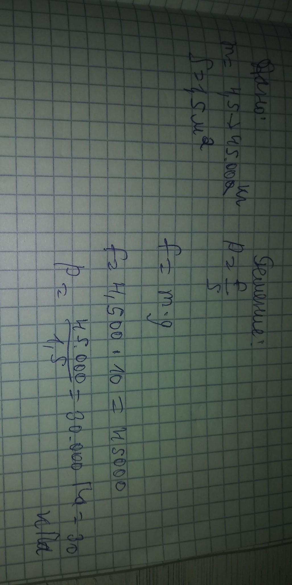
какое давление оказывает на грунт гранитная колонна массой 4.5 тонны если площадь её основания равна 1,5м2​

Ответы

Ответ дал: aristoktararistokrat
1

Ответ:

Ответ: на фото

Объяснение:

На фото..

Приложения:

vitalabuskov9987: спасибо большое
aristoktararistokrat: вам тоже
vitalabuskov9987: а на фото там в конце что?
vitalabuskov9987: просто не полностью
aristoktararistokrat: 30 кПа
vitalabuskov9987: спасибо большое ещё раз
aristoktararistokrat: Мой ответ не сходится с ответом другого ответившегося участника,так как я перевел в систему Си
vitalabuskov9987: ок
Аноним: нечего
Вас заинтересует