Ответы
Ответ дал:
0
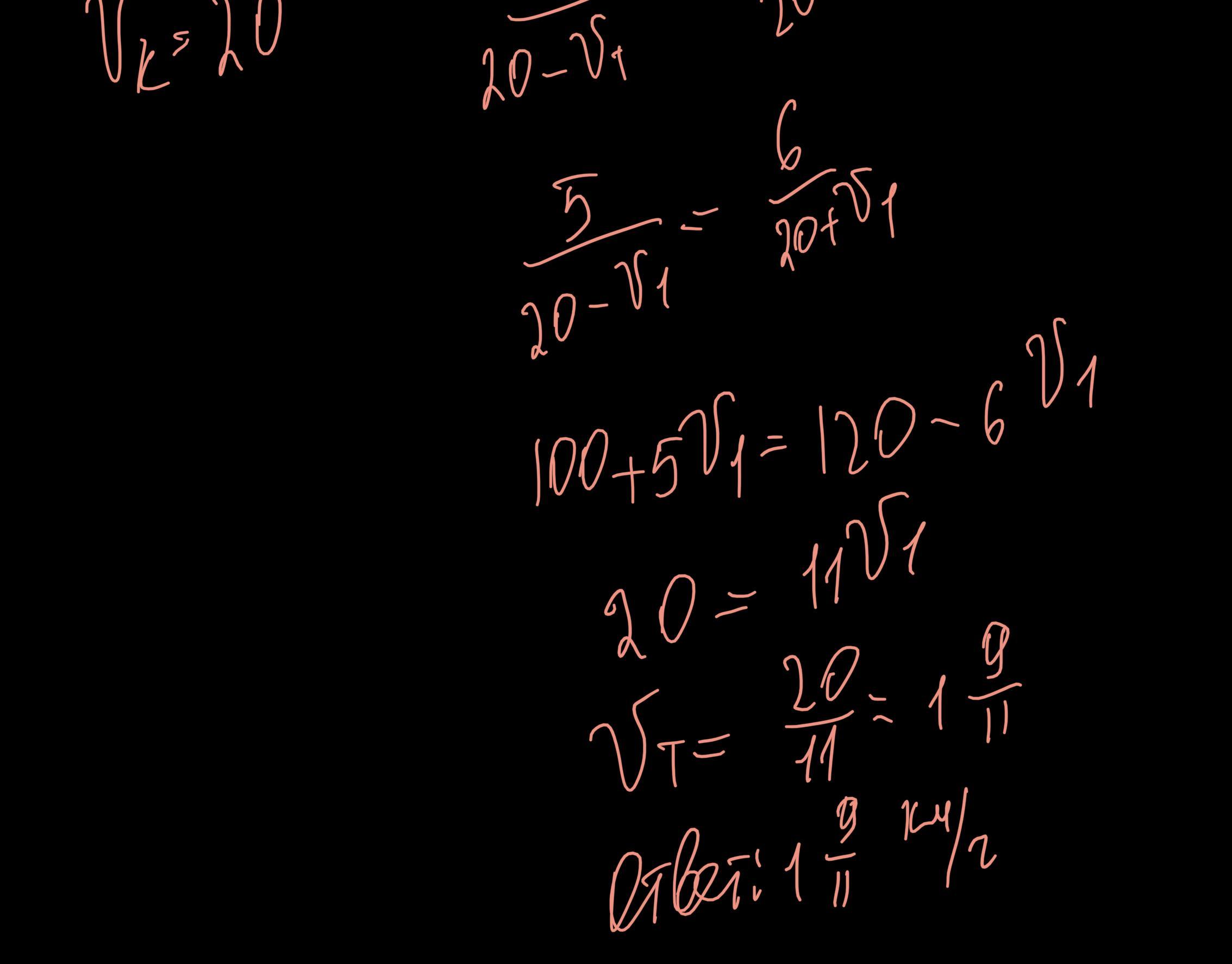
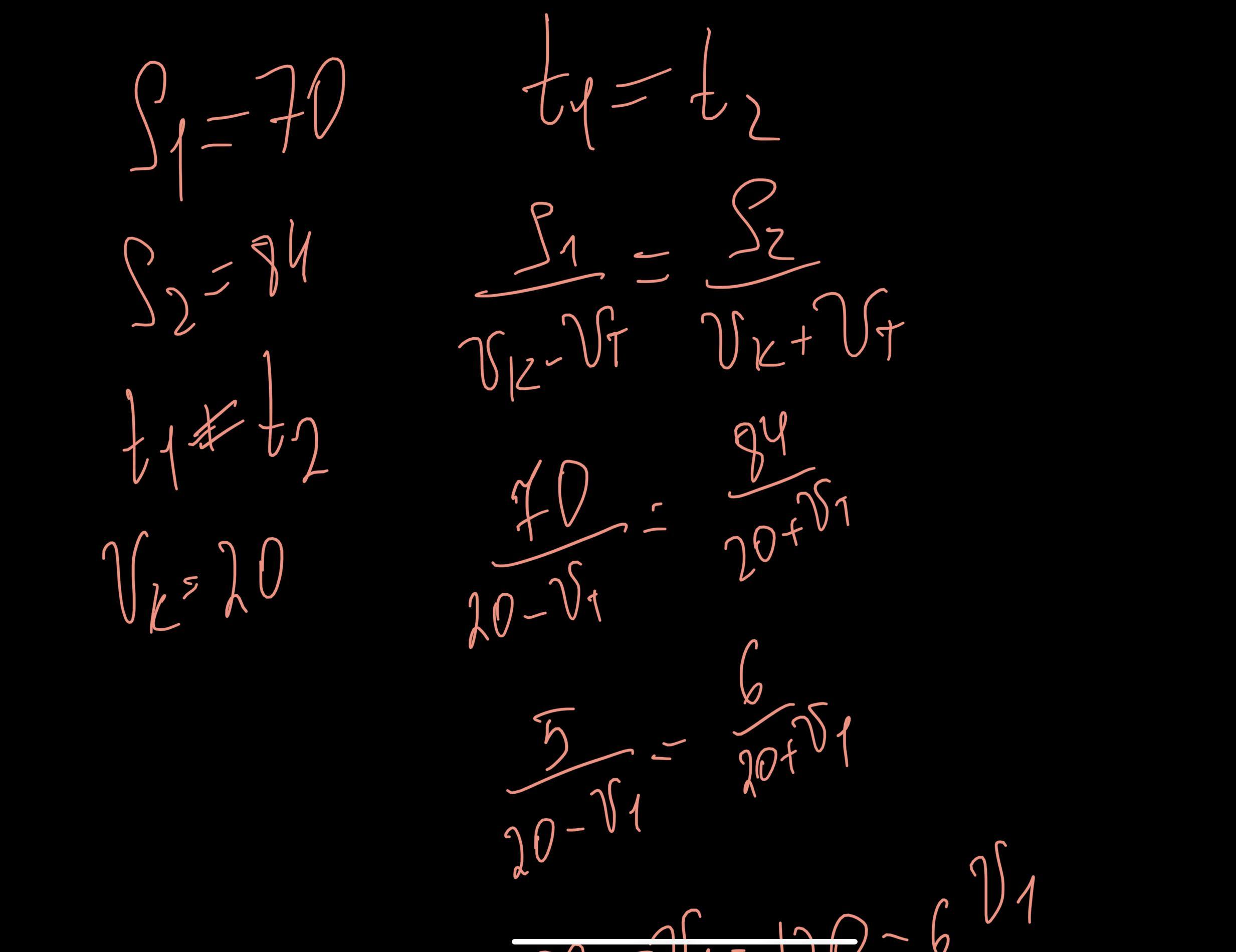
Обозначим скорость течения реки через x , тогда скорость катера по течению равна (x + 20) км\час , а скорость катера против течения равна
(x - 20) км\час . По течению катер прошёл 84 км , значит затратил на этот путь 84 : (x + 20) ч . Против течения катер прошёл 70 км , значит затратил на этот путь 70 : (x - 20) ч . По условию задачи на путь по течению и против течения катер затратил одинаковое время .
Составим и решим уравнение :
Что- то с числами в этой задаче не так .
Ответ дал:
0
В фото
Объяснение:
В фото
Приложения:


Вас заинтересует
2 года назад
2 года назад
2 года назад
8 лет назад
8 лет назад
9 лет назад