• Предмет: Математика
  • Автор: acharlidomeulo
  • Вопрос задан 7 лет назад

ПОМОГИТЕ ПОЖАЛУЙСТА

Приложения:

Аноним: если можешь, задай вопрос раздельно с примерами, полностью оба не влазят (ограничения)
acharlidomeulo: хорошо
acharlidomeulo: не смогу больше..
Аноним: отпишись, если создашь
acharlidomeulo: окк

Ответы

Ответ дал: VikaWinner
0

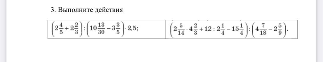
Ответ:

(2 4/5 + 2 2/3):(10 13/30 - 3 3/5)*2.5=2

(2 5/14*4 2/3+12:2 1/4-15 1/4):(4 7/18- 2 5/9)=13/22

Пошаговое объяснение:

(2 4/5 + 2 2/3):(10 13/30 - 3 3/5)*2.5=  

(2 12/15 + 2 10/15):(10 13/30 - 3 18/30)*2.5=  

5 7/15: 6 25/30 *2.5=  

82/15:205/30*2.5=  

4/5*2.5=  

0.8*2.5=2

(2 5/14*4 2/3+12:2 1/4-15 1/4):(4 7/18- 2 5/9)=  

( 33/14*14/3+12:9/4-61/4):(79/18-23/9)=  

(11+16/3-61/4):(79/18-46/18)=  

(33/3+16/3-61/4):33/18=  

(49/3-61/4):33/18=  

(196/12-183/12):33/18=  

13/12:33/18=13/22

Вас заинтересует