• Предмет: Геометрия
  • Автор: lem12o
  • Вопрос задан 7 лет назад

решите пожалуйста даю 70 баллов.

Приложения:

Ответы

Ответ дал: drtsv
1
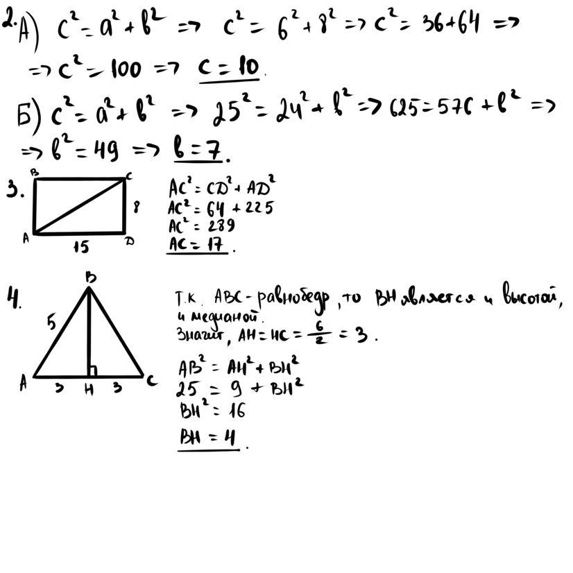
Решение представлено на фото
Приложения:
Вас заинтересует