• Предмет: Алгебра
  • Автор: Аноним
  • Вопрос задан 7 лет назад

пж помагите зделаю лучший ответ​

Приложения:

Ответы

Ответ дал: Mnick
1

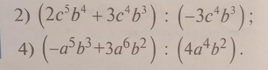
2)(2c⁵b⁴+3c⁴b³)÷(-3c⁴b³)= (2b⁴c⁵+3b³c⁴):(-3b³c⁴)=b³c⁴•(2bc+3)/-3b³c⁴

ответ:

 -  \frac{2bc + 3}{3}

4)(-a⁵b³+3a⁶b²):(4a⁴b²)=-a⁵b³+3a⁶b²/4a⁴b²=a⁴b²•(-ab+3a²)/4a⁴b²=-ab+3a²/4


Аноним: уже поздно
Аноним: но спс
Вас заинтересует