• Предмет: Математика
  • Автор: milanagames
  • Вопрос задан 7 лет назад

помогите пж
Кто решит эти 4 задания только с решением дам 50 баллов ​

Приложения:

odinakamalova137: это 4 задание

Ответы

Ответ дал: olgaua64
1

Відповідь:

Покрокове пояснення:

Приложения:
Ответ дал: VasilisaMarkovna
1

Ответ:

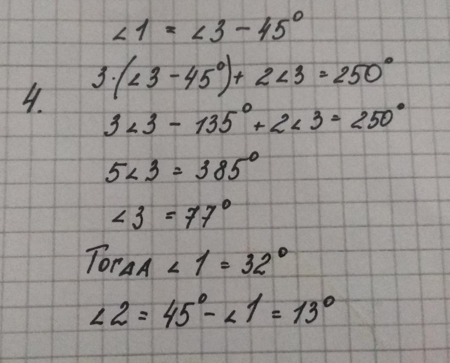
3. 4 см; 4.  13 градусов; 5. 71 градус; 6. 15 градусов

Решение 6

в прямоугольном треугольнике катет,лежащий против угла 30 градусов = половине гипотенузы. Отсюда следует, что угол 2 = 30 градусов, угол 1 = 45-30=15 градусов

Приложения:
Вас заинтересует