Ответы
Ответ дал:
2
Ответ:
Приложения:


NNNLLL54:
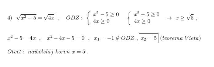
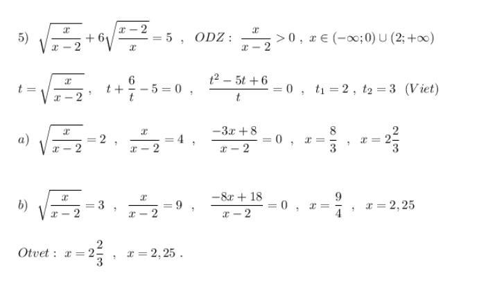
см скрин
Вас заинтересует
2 года назад
2 года назад
2 года назад
2 года назад
8 лет назад
8 лет назад
9 лет назад