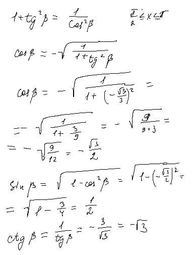
Найдите неизвестные тригонометрические функции угла, если (указано на скриншоте) , а угол β лежит во второй четверти.
Выполняя задание, необходимо записывать подробное решение.
Приложения:

Ответы
Ответ дал:
2
Ответ:
Объяснение:
Синус во второй четверти >0, косинус - <0
Приложения:

Вас заинтересует
2 года назад
8 лет назад
8 лет назад
9 лет назад