• Предмет: Алгебра
  • Автор: NicoeLisovskaya124
  • Вопрос задан 7 лет назад

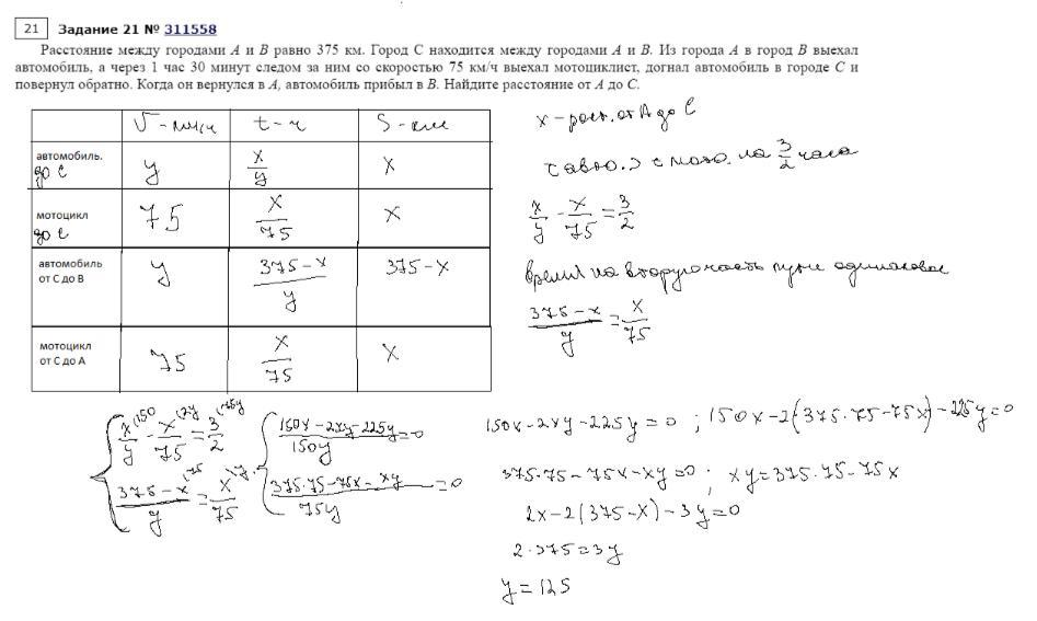
прошу помочь дорешать задачу.

Приложения:

Ответы

Ответ дал: lidiasaraa3
2

Ответ:

Объяснение:..........

Приложения:

lidiasaraa3: я бы решала так.
lidiasaraa3: сложно все пересчитывать.даже из последнего у=250,а не 125.
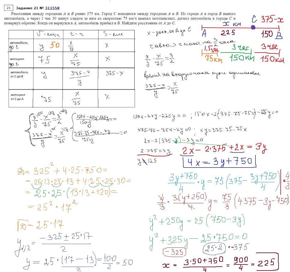
Ответ дал: LFP
0

Ответ: х = 225 км

у вас икс "упростился" и в этом ошибка...

Приложения:
Вас заинтересует