• Предмет: Математика
  • Автор: annapucinskaa1
  • Вопрос задан 7 лет назад

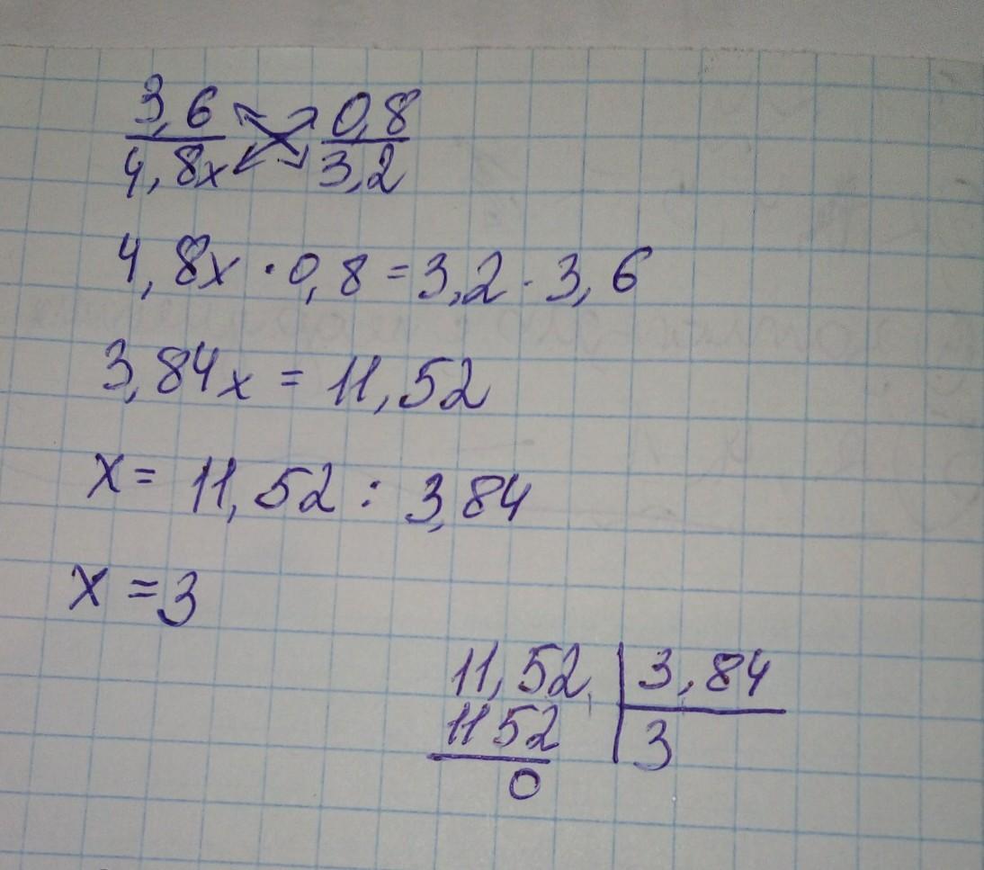
9. Найдите значение x из пропорции и проверьте свой результат 3,6 : 4,8х=0,8:3,2​

Ответы

Ответ дал: tatsach
2

Ответ:

Пошаговое объяснение:

4,8х*0,8=3,2*3,6

3,84х=11,52

Х=11,52:3,84

Х=3


Rozali9A: извините, вы видимо цифру перепутали в строчке х = 12,52, должно же быть 11,52
tatsach: Я исправила
Ответ дал: Rozali9A
1

Ответ на фото, удачи тебе, если есть вопросы, спрашивай

Приложения:
Вас заинтересует