• Предмет: Физика
  • Автор: kurteevakristina9
  • Вопрос задан 7 лет назад

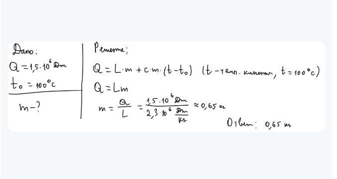
помогите пожалуйста очень надо​

Приложения:

Ответы

Ответ дал: odinakamalova137
0

1) M кастрюли меньше чем m воды, как следует c=4200Дж/кг*С, L=2300000Дж/кг, t1=10C, t2=100C, T1=10 минут. T2(которую мы отыскиваем)=(2300000Дж/кг*10 минут)/(4200Дж/кг*С*(100С-10С))=60,85 минут приблизительно=61 минута.

2) не знаю

3)

Приложения:
Вас заинтересует