Ответы
Ответ дал:
1
Ответ:
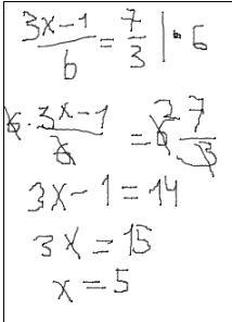
х=5
Пошаговое объяснение:
Надеюсь всё видно
Приложения:

Ответ дал:
3
Відповідь:
х = 5.
Покрокове пояснення:
(3х-1)/6 = 7/3.
Перенесено все в одну частину рівняння, змінюючи знак:
(3х-1)/6 - 7/3 = 0.
Зведемо до спільного знаменника:
(3х-1)/6 - (7*2)/6 = 0;
(3х-1)/6 - 14/6 = 0;
(3х-1-14)/6 = 0;
(3х-15)/6 = 0;
3(х-5)/6 = 0.
Скоротимо на 3:
(х-5)/2 = 0.
Дріб дорівнює нулю тоді, коли його чисельник дорівнює нулю:
х-5 = 0;
х = 5.
NamJooonnn29:
здравствуйте вы не могли бы мне помочь с русским языком пожалуйста
Вас заинтересует
2 года назад
2 года назад
2 года назад
2 года назад
8 лет назад
9 лет назад