• Предмет: Математика
  • Автор: asssasiiin228
  • Вопрос задан 7 лет назад

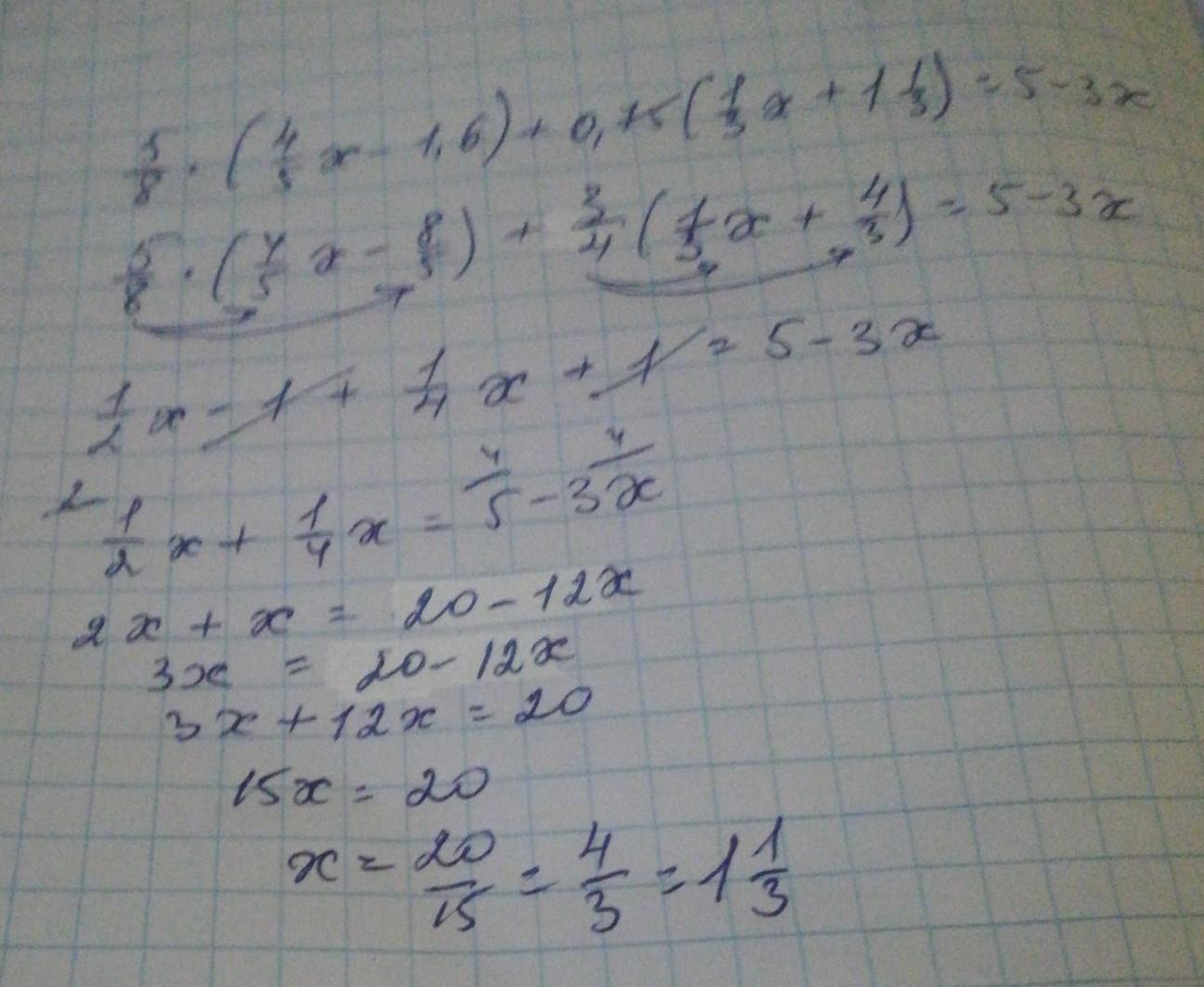
5/8*(4/5x-1,6)+0,75*(1/3x+1челых 1/3)=5-3x​

Ответы

Ответ дал: larisaserova53
3

Ответ:

Смотри решение на фото..

Приложения:

larisaserova53: пока можно исправить
asssasiiin228: спс
larisaserova53: ты выкладывал дважды этот пример, и оба разные - 1 1/3
larisaserova53: и +1 1/3
larisaserova53: так чего минс или плюс надо?
asssasiiin228: плюс
asssasiiin228: 1/3x+11/3
asssasiiin228: а английский язык сможешь сделать
larisaserova53: Смотри решение, я скинула пример этот с плюсом
larisaserova53: Английский сама не знаю!!!
Вас заинтересует